归档时间:2024-09-19
当前位置:
首页
>
幸福楼区
>
宜业楼区
>
项目建设
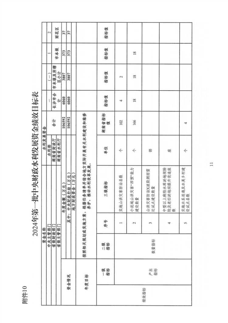
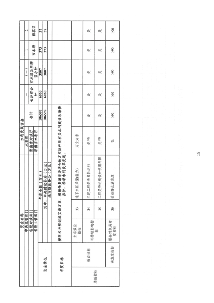
2024年第一批中央财政水利发展资金(市县)湘财预2023-342
来源:湖南省财政厅
2024-07-09
浏览量:
1
|
|
|
|