进入老年模式
退出老年模式
岳阳楼区卫生健康局
政府信息公开
政府信息公开指南
法定主动公开内容
机构概况
规划计划
人事信息
公示公告
行政处罚
医疗卫生
公共卫生
财政预决算
行政事业性收费
政府信息公开年报
依 申 请公 开
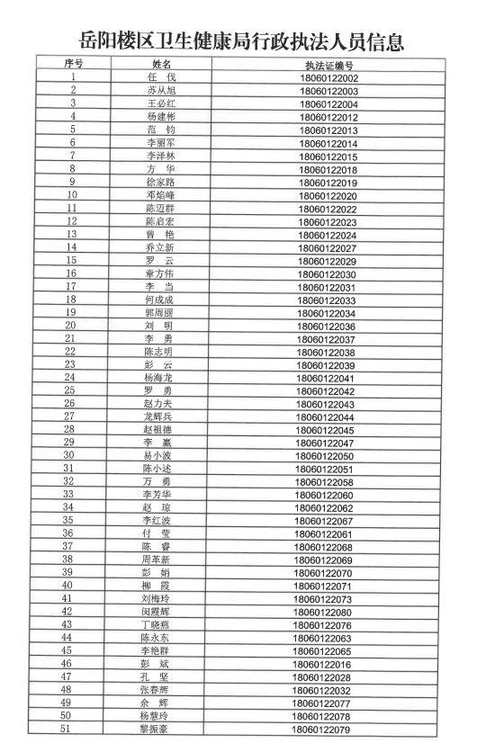
岳阳楼区卫健局行政执法人员信息
来源: 岳阳市岳阳楼区卫生健康局
发布时间: 2025-02-28 14:01
浏览次数:
1