2025年岳阳楼区第一期中级直播销售员技能培训公示
来源:区就业局   2025-05-20
浏览量:1 | | | |

  培训公示

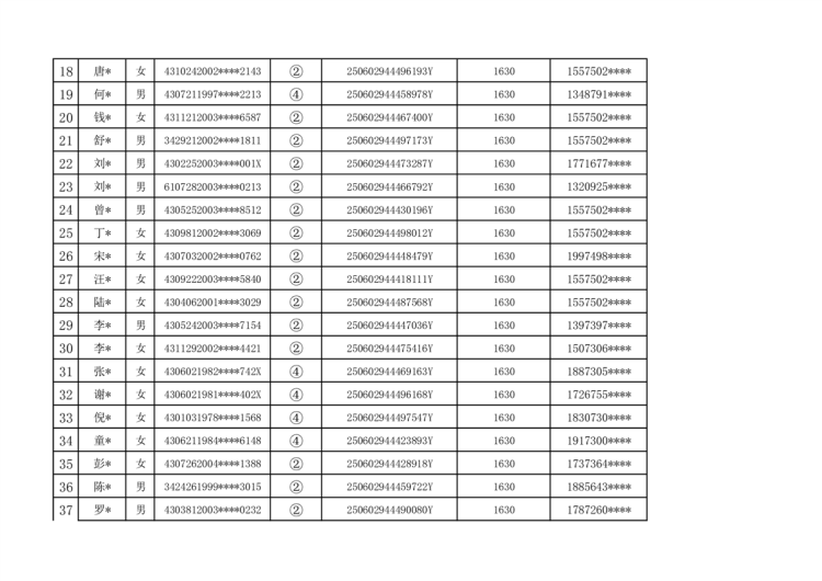
  岳阳市宏学职业技能培训学校于2025年4月1日至4月14日组织开展了2025年岳阳楼区第一期技能培训:中级直播销售员,班级号:F2500179,经考试检验合格,此次培训学员中50人考试合格,获得了培训合格证书。

  特此公示。

  举报电话:0730-8323076

  岳阳市宏学职业培训学校

  2025年5月20日